Lecture from: 22.05.2024 | Video: Video ETHZ
Review: Our Integration Toolkit So Far
Quick Recap: Key Integration Techniques
Integration by Parts: This is our “reverse product rule” for integrals. It’s super useful when you have a product and differentiating one part while integrating the other makes the new integral simpler.
Substitution Rule (Change of Variables): This is our “reverse chain rule.” If you spot an “inside function” and its derivative in your integrand, substitution can often transform the integral into an easier one. (Here, we’d let , so ).
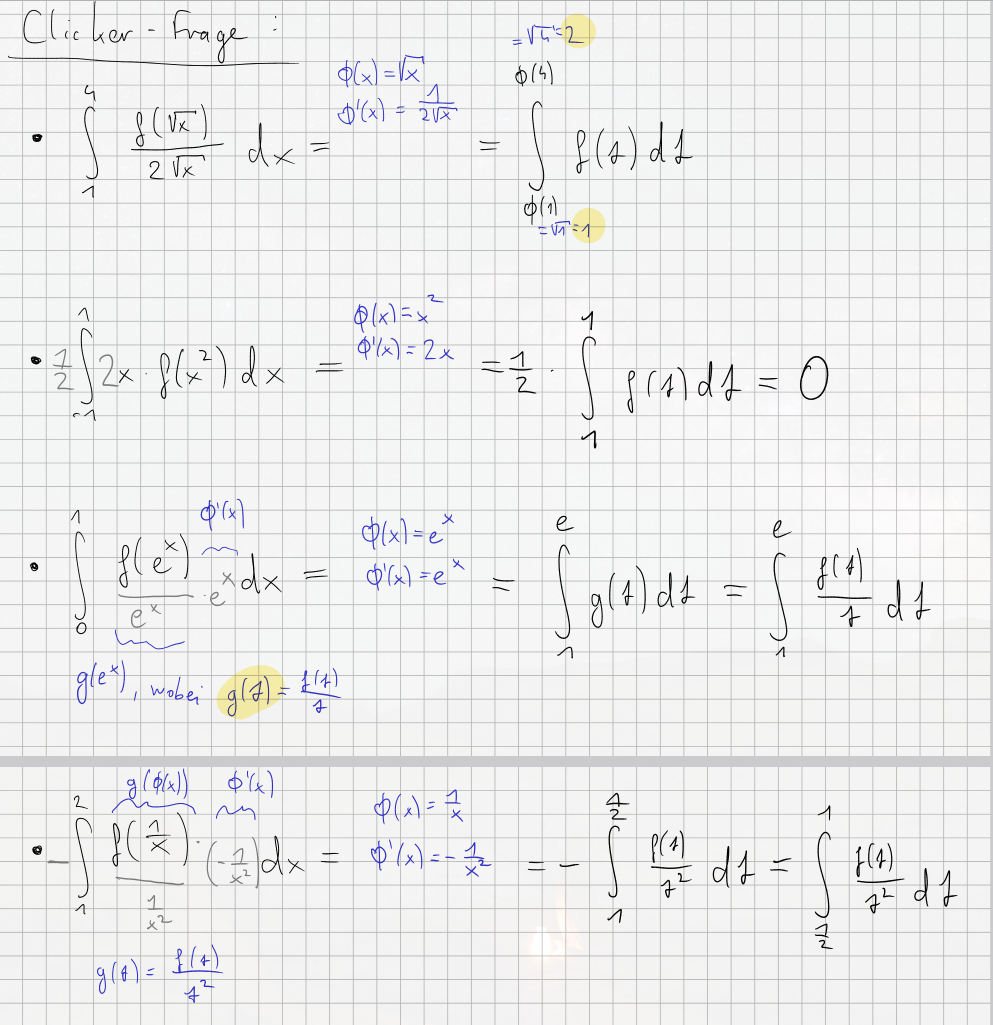
Clicker Question: Recognizing Patterns for Substitution
Let’s test our pattern recognition for the substitution rule. Suppose is some integrable function.
/Semester-2/Analysis-1/Lecture-Notes-2024/attachments/Pasted-image-20250531230345.png)
Today’s Menu: Areas, Antiderivatives, and Rational Functions
- Calculating the area of a circle (a classic application!).
- Understanding the indefinite integral (the family of all antiderivatives).
- A systematic way to integrate rational functions (ratios of polynomials) using partial fraction decomposition.
Application: Area of a Circle
A Famous Area Problem We all know the formula for the area of a circle is . But can we derive this using calculus? Yes! We’ll find the area of a semicircle and then double it.
A semicircle with radius , centered at the origin and above the x-axis, can be described by the function for .
(This comes from the equation of a circle , so . We take the positive root for the upper semicircle).
/Semester-2/Analysis-1/Lecture-Notes-2024/attachments/Pasted-image-20250531230409.png)
The area of this semicircle is the area between the x-axis and the graph of , which is given by the integral:
To calculate this integral, we’ll use a trigonometric substitution, which is a clever application of the substitution rule.
Let .
We need to choose the limits for such that as varies, covers the interval exactly once.
If , then . If , then . So, we’ll let run from to .
Our substitution is , .
Now, we need .
And the term becomes: .
Using the identity , we have . So, .
Since , . Also . So, .
Substituting everything into the integral: The limits to become to .
Now we need to evaluate .
We use integration by parts. Recall .
Let and . Then and .
So, .
Now use : .
Bring the term to the left side: .
So, .
Now, the definite integral:
Evaluate at the upper limit : .
Evaluate at the lower limit : .
The definite integral is .
So, the area of the semicircle is . The area of the full circle is twice this: . Success!
Can We Calculate the Volume of a Sphere using Integration?
Yes! Imagine a sphere of radius . We can think of slicing it into thin circular disks perpendicular to, say, the x-axis.
/Semester-2/Analysis-1/Lecture-Notes-2024/attachments/Pasted-image-20250531230707.png)
The equation of the circle (in the xy-plane, forming the sphere by revolution) is , so gives the radius of a disk at position .
The area of such a circular disk at position is .
To find the volume, we “sum up” the volumes of these infinitesimally thin disks (Area ) from to : The first integral: . The second integral: . So, .
This is indeed the familiar formula for the volume of a sphere!
The Indefinite Integral: The Family of Antiderivatives
Let be an interval and be continuous.
The Fundamental Theorem of Calculus (Part 1) tells us that an antiderivative of exists. For example, (for some ) is one such antiderivative.
We know that if is one antiderivative, then any other antiderivative must differ from by only a constant: .
We write the indefinite integral of as: where is any particular antiderivative of , and is an arbitrary constant of integration. This notation represents the entire family of functions whose derivative is .
“Integration is the inverse operation of differentiation.”
Many derivatives are already known to us, which directly gives us a list of common antiderivatives:
- Power Rule (for ):
- Logarithmic Case (for ):
/Semester-2/Analysis-1/Lecture-Notes-2024/attachments/Pasted-image-20250531230754.png)
- Exponential:
- Trigonometric:
- Inverse Trigonometric related: (for )
- Hyperbolic Functions: (Recall , )
- Inverse Hyperbolic related:
(where is the inverse of )
(where is the inverse of )
/Semester-2/Analysis-1/Lecture-Notes-2024/attachments/Pasted-image-20250531230823.png)
Techniques for Indefinite Integrals
The rules for definite integrals (integration by parts, substitution) have analogous versions for indefinite integrals.
Integration by Parts (Indefinite Version)
(Remember the is implicitly handled if we think of as “an antiderivative of”).
Examples:
-
Let and . Then and . .
-
Let and . Then and . .
-
Let and . Then and . .
-
(Skipped, see script for other examples like which requires parts twice).
-
Reduction Formula for , for . This can be used to derive a recurrence relation. Let’s look at .
Consider for . We can try parts on to relate it to . For .
Let and . Then and . .
We can write . So, . So, . . .
Substitution (Indefinite Version)
To calculate : We replace (so is the new variable). Then .
The integral becomes . After integrating with respect to , we must substitute back to express the result in terms of .
Example (like the clicker):
- If , then , so .
- If , then , so .
Example:
Let , so . Then . .
Substitute back : .
(Examples (2)-(4) skipped, see script).
Partial Fraction Decomposition
Integrating Ratios of Polynomials: A Systematic Approach How do we find antiderivatives of rational functions, i.e., functions of the form where and are polynomials? The method of partial fractions breaks these down into simpler pieces that we do know how to integrate.
To calculate antiderivatives of rational functions, , where are real polynomials.
Step 1: Ensure Degree of Numerator is Less than Degree of Denominator
If , we first perform polynomial long division to write , where is a polynomial (easy to integrate) and is a polynomial with .
We then focus on integrating . From now on, assume .
Step 2: Normalize and Factorize the Denominator
Assume is “normiert” (monic), meaning its leading coefficient (coefficient of the highest power of ) is 1. If not, divide both and by this leading coefficient.
E.g.,
Now, theoretically, any real polynomial can be factored over the real numbers into a product of linear factors and irreducible quadratic factors (where ).
For simplicity in these notes, we’ll first consider the case where all roots of are real.
Case: “All roots of are real”
Then can be factored as , where are the distinct real roots of and is the multiplicity of the root .
The sum of multiplicities .
Step 3: The Partial Fraction Setup
The theory of partial fractions states that (with ) can be written as a sum of simpler fractions: where are real constants that we need to determine.
For each distinct root of multiplicity , we have terms with denominators .
Step 4: Determine the Coefficients
To find the coefficients , we multiply both sides of the equation by (clearing denominators). This results in an identity between two polynomials (the original on one side, and a combination of terms multiplied by parts of on the other).
We then equate the coefficients of corresponding powers of on both sides. This leads to a system of linear equations for the unknown .
Step 5: Integrate the Simpler Fractions
The right-hand side (the sum of partial fractions) can then be integrated term by term. We need to know how to integrate terms like and for .
- For : .
Example
Integrate . Here , . . Roots of are (multiplicity ) and (multiplicity ).
Equation: Multiply by : .
Compare coefficients:
- Coefficient of (constant term): .
- Coefficient of : . Since , .
So, . Then .
Remark: In general, to find the coefficients , one must solve a system of linear equations. The Gauss elimination method from linear algebra can be used for this.
(If has irreducible quadratic factors, the equation includes terms like , which integrate to logarithms and arctangents).
Continue here: 24 Integration of Convergent Series and Swapping Limit and Integrals, Improper Integrals