Lecture from 27.09.2024 | Video: Videos ETHZ
Matrix as a Notation for a Sequence of Vectors
A matrix is a way to represent a sequence of vectors, where each vector is either a column or a row in the matrix.
Here, is a matrix, representing a matrix with 3 rows and 2 columns.
Matrix Definition
More generally, an matrix is a rectangular array of real numbers with rows and columns.
For example, an matrix can be represented as:
Here, each represents a real number located at the intersection of the th row and th column.
/Semester-1/Linear-Algebra/Lecture-Notes/attachments/Pasted-image-20240928201809.png)
Dot Free Notation
Similar to the “dot-free” notations from vectors (Vector Builder Notation), we can also use a dot-free notation for matrices.
The matrix can be represented as:
Here, represents the element in the th row and th column, and the matrix has rows and columns.
Column and Row Notation
We can represent matrices using column and row notation.
- A column of a matrix consists of all elements vertically aligned in the same column index.
- A row of a matrix consists of all elements horizontally aligned in the same row index.
/Semester-1/Linear-Algebra/Lecture-Notes/attachments/Pasted-image-20240928193446.png)
Explained
The notation represents the set of all matrices with rows and columns, where each entry in the matrix is a real number. In other words, it is the space of all matrices with real entries.
Matrix Addition and Scalar Multiplication
TLDR: Same as vector addition and multiplication
Matrix Addition
Matrix addition is defined for matrices of the same dimensions. If and are two matrices, their sum is a new matrix where each element is the sum of the corresponding elements in and .
If:
Then the sum is:
Scalar Multiplication
Scalar multiplication involves multiplying every element of a matrix by a scalar (a real number). If is an matrix and is a scalar, the product is obtained by multiplying each element of by .
If:
Then the scalar multiplication is:
Zero Matrix (Nullmatrix)
A zero matrix (also called a nullmatrix) is a matrix in which all of its entries are zero. It can exist in any size, and is denoted by or for an matrix.
For example, a zero matrix would look like:
The zero matrix has the following properties:
- For any matrix , (additive identity).
- For any scalar , .
Quadratic Matrix Types
A quadratic matrix is a square matrix where the number of rows equals the number of columns, denoted as ( n \times n ).
/Semester-1/Linear-Algebra/Lecture-Notes/attachments/Pasted-image-20240928202840.png)
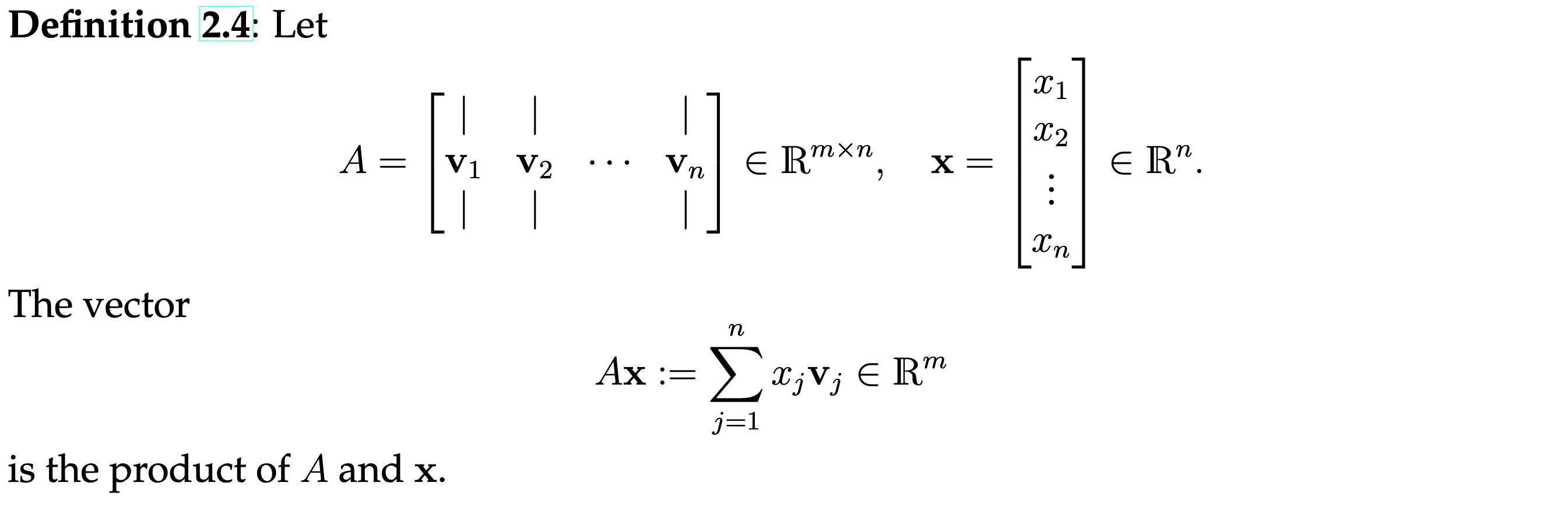
Matrix-Vector Multiplication
Matrix-vector multiplication is a fundamental operation in linear algebra, where a matrix is multiplied by a vector to produce a new vector. The multiplication can be interpreted as a linear combination of the columns of the matrix, weighted by the entries of the vector.
/Semester-1/Linear-Algebra/Lecture-Notes/attachments/Pasted-image-20240928203632.png)
Column Definition
The column definition of matrix-vector multiplication illustrates how the resulting vector can be represented as a linear combination of the matrix’s columns, with the entries of the vector acting as coefficients.
/Semester-1/Linear-Algebra/Lecture-Notes/attachments/Pasted-image-20240928203839.png)
Row Definition
The row definition of matrix-vector multiplication highlights the operation performed by each row of the matrix on the vector, resulting in the components of the output vector.
/Semester-1/Linear-Algebra/Lecture-Notes/attachments/Pasted-image-20240928204033.png)
Direct Definition
The direct definition of matrix-vector multiplication provides a straightforward formulation of the operation, showing how each component of the resulting vector is calculated based on the elements of the matrix and the vector.
/Semester-1/Linear-Algebra/Lecture-Notes/attachments/Pasted-image-20240928203858.png)
Column Space and Rank
Column Space
Let be an matrix. The column space (Spaltenrang or Bild) of is defined as the span of its columns, denoted as :
This represents all possible linear combinations of the columns of in .
Independent Columns
Independent columns refer to a set of columns in a matrix where no column can be expressed as a linear combination of the others. If a matrix has independent columns, it implies that those columns span a -dimensional space.
Every linear combination of the columns is already a linear combination of the independent columns.
/Semester-1/Linear-Algebra/Lecture-Notes/attachments/Pasted-image-20240928210506.png)
Rank
The rank (Rang) of a matrix is the dimension of its column space, which indicates the maximum number of linearly independent columns in . In other words, it tells us how many dimensions are spanned by the columns of the matrix.
TLDR: The dimension of the column space is called the rank of the matrix.
/Semester-1/Linear-Algebra/Lecture-Notes/attachments/Pasted-image-20240928210723.png)
Continue here: 05 Transpose and Multiplication