Lecture from: 20.05.2025 | Video: Homelab
In this lecture, we study a classic geometric optimization problem and a strikingly elegant randomized algorithm to solve it in expected linearithmic time. The algorithm, originating from work by Clarkson, illustrates powerful ideas in randomized geometric optimization and probabilistic analysis.
The SmallEnclDisk Problem
Given a finite point set , determine the closed disk of minimal radius that contains all points in .
We define:
-
A disk with center and radius as:
-
The disk is said to enclose if:
-
This disk is called the smallest enclosing circle if it has the smallest possible radius among all such enclosing disks.
/Semester-2/Algorithms-and-Probability/Lecture-Notes/attachments/Pasted-image-20250526123325.png)
Lemma: Uniqueness of the Smallest Enclosing Circle
For every finite point set , there exists a unique smallest enclosing circle .
Proof sketch:
- Suppose two distinct disks both minimally enclose , with equal radius but centers .
- Let be the midpoint.
- Construct a disk centered at passing through the intersection points of .
- This new disk strictly contains and has smaller radius than - contradiction.
Hence, the smallest enclosing disk is uniquely defined.
/Semester-2/Algorithms-and-Probability/Lecture-Notes/attachments/Pasted-image-20250526123418.png)
Lemma: 3-Point Certificate
For , there exists a subset , , such that:
That is, the smallest enclosing circle is determined by at most 3 boundary points. These 3 points form a minimal certificate of the optimal solution.
Intuitively:
- If contains all of , and any point lies in the interior, it’s not necessary to determine the boundary.
- Only up to 3 points (due to geometry of circles) can lie on the boundary and determine the unique minimal disk.
/Semester-2/Algorithms-and-Probability/Lecture-Notes/attachments/Pasted-image-20250526123501.png)
Basic Algorithms
Complete Enumeration
Enumerate all 3-subsets . For each:
- Compute
- Check whether
/Semester-2/Algorithms-and-Probability/Lecture-Notes/attachments/Pasted-image-20250526123521.png)
- There are candidates.
- Each check takes .
- Total time:
Smarter Enumeration
Instead of checking containment, track the candidate with largest radius:
- Still iterate over subsets.
- Keep best disk seen so far.
/Semester-2/Algorithms-and-Probability/Lecture-Notes/attachments/Pasted-image-20250526123655.png)
- Runtime:
- Still inefficient for large
A First Randomized Algorithm
/Semester-2/Algorithms-and-Probability/Lecture-Notes/attachments/Pasted-image-20250526123808.png)
- Expected trials: since probability of correctly selecting the points in one sample is and this is a geometric distribution.
- Each trial: check
- Total expected runtime:
This naive approach lacks adaptivity: it doesn’t learn from previous failures. But the insight that “bad points” (outside current disk) matter more leads to improvement.
Clarkson’s Randomized Algorithm
We maintain a multiset initialized as , and evolve it by amplifying the influence of points that prevent current samples from enclosing the set.
/Semester-2/Algorithms-and-Probability/Lecture-Notes/attachments/Pasted-image-20250526124005.png)
- Sample is drawn from , which changes over time.
- Violating points (outside current disk) become more likely in future samples.
- Idea resembles a multiplicative weights update method - emphasizing “important” points.
/Semester-2/Algorithms-and-Probability/Lecture-Notes/attachments/Pasted-image-20250526124046.png)
Why It Works
Let be the set of at most 3 points that define the optimal disk: .
- If current disk fails: at least one point in is outside.
- Each time we fail, at least one such point is doubled.
- After rounds, some point in must appear times.
- Hence,
But we can also bound expected size of from above.
Growth Upper Bound
Let be the size of after rounds. Then:
For , this becomes
Since , these bounds must eventually conflict → the process must terminate in rounds.
/Semester-2/Algorithms-and-Probability/Lecture-Notes/attachments/Pasted-image-20250526124125.png)
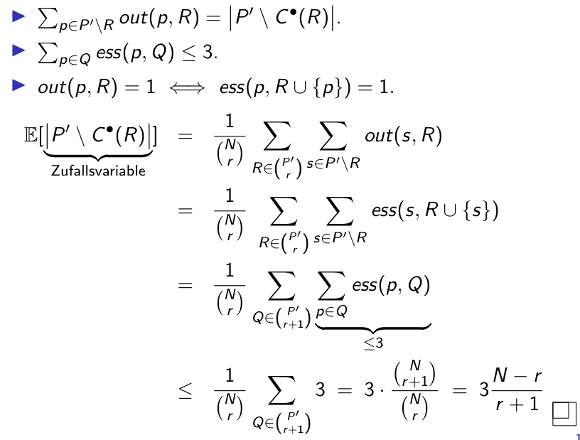
Sampling Lemma
This key lemma bounds expected number of points outside disk defined by random sample.
Let be a multiset of size , and be a uniform random sample of size . Then:
Intuition:
- A point implies that is “essential” for any superset.
- But at most 3 such essential points per subset.
Proof sketch: Define indicator functions:
- if
- if
Connect expected number of outs to essentiality and count via combinatorics.
Look at the proof below, I didn’t fully get it…
/Semester-2/Algorithms-and-Probability/Lecture-Notes/attachments/Pasted-image-20250526171120.png)
/Semester-2/Algorithms-and-Probability/Lecture-Notes/attachments/Pasted-image-20250526171130.png)
Final Runtime Analysis
Let be the number of rounds until success.
/Semester-2/Algorithms-and-Probability/Lecture-Notes/attachments/Pasted-image-20250526171255.png)
We showed:
- But if , then
/Semester-2/Algorithms-and-Probability/Lecture-Notes/attachments/Pasted-image-20250526171319.png)
Set . For , the probability that algorithm hasn’t terminated is very small.
Finally, the expected number of rounds is:
Total expected runtime:
/Semester-2/Algorithms-and-Probability/Lecture-Notes/attachments/Pasted-image-20250526171400.png)
Conclusion
Theorem
The randomized algorithm computes the smallest enclosing circle of in expected time .
Summary
- The method generalizes to enclosing balls (or ellipsoids) in fixed higher dimensions with modified constants.
- Other linear-time randomized and deterministic methods exist, but Clarkson’s approach is notable for its “simplicity” and analysis.
| Concept | Insight |
|---|---|
| Smallest enclosing circle | Determined by ≤ 3 points on boundary |
| Randomized sampling | Likely to hit defining points after boosting their multiplicity |
| Geometric sensitivity | Points outside a sampled disk are crucial - “they teach us something” |
| Sampling lemma | Shows expected number of offending points is small |
| Multiplicative biasing | Drives convergence by boosting important point probability |
Continue here: 25 Convex Hulls - Geometry, Algorithms, and Complexity